神経線維の特徴

概要
末梢神経障害は基本的には大径線維・小径線維のいずれもが障害されるが、SFNではAδ線維(有髄)・C線維(無髄)が選択的に障害される。そのため表在感覚異常(疼痛)と自律神経障害が主症状となる。
臨床的特徴は多様であるが、一般的には大きく以下の2つに分類できる。
- 長さ依存性:length-dependent(LD-SFN)
- 長さ非依存性:non-length-dependent(NLD-SFN)
臨床症候・分類
異常感覚(灼熱感・チクチク感・鈍痛・電撃様・掻痒)やアロディニア。
温痛覚の低下もあり。
夜間に筋痙攣様疼痛・むずむず脚・足の不随意運動がみられることがある。
診察上は大径有髄線維が関与する筋力・腱反射・触覚・深部感覚は障害されない。

*Lancet Neurol. 2017;16(11):934-944.
- LD-SFN
-
多発ニューロパチー型の感覚障害・自律神経障害。
下肢優位の神経障害性疼痛(最も多いのは灼熱痛)。
疼痛が全くない場合や、温痛覚の鈍麻がみられる場合もある。
末梢(足趾や足)から上行し、手指にも進展する。
- NLD-SFN
-
単ニューロパチー・多発性単ニューロパチー・後根神経節障害の障害分布。
腫瘍随伴性・免疫介在性・特発性の機序で起こることが多い。
顔面・舌・頭皮・上肢・体幹など、下肢より先に様々な部位の症状が出現する。
原因
- 代謝性
-
糖尿病・耐糖能異常・甲状腺機能低下症・高TG血症・尿毒症・ビタミン(B1・B6・B12)欠乏・銅欠乏
- 薬剤性
-
アルコール・抗レトロウイルス薬・化学療法・有機溶剤・ビタミンB6中毒・スタチン
- 感染性
-
HCV・HIV・HTLV-1・インフルエンザ・ハンセン病・重症敗血症・重症ショック・critical illness
- 免疫介在性
-
自己免疫性自律神経節障害(AAG)・セリアック病・ギランバレー症候群・CIDP・パラプロテイン血症・アミロイドーシス・傍腫瘍性神経症候群・サルコイドーシス・Sjogren症候群・SLE・血管炎
- 遺伝性
-
ATTRvアミロイドーシス・HSAN・Fabry病・Pompe病・Wilson病・Naチャネル異常症
- 特発性
検査
検体検査
糖代謝(血糖値・HbA1c)・脂質
腎・肝・甲状腺機能・電解質
ビタミン(B1・B6・B12)・ホモシステイン・葉酸・銅
血算・IgM・IgA・IgG
血清・尿免疫固定法
CRP・血沈
リウマチ因子・抗核抗体・ANCA・クリオグロブリン・抗SS-A/B抗体・ACE・sIL2R・gAChR抗体
抗神経抗体(抗Hu抗体・抗CV2抗体・抗VGCC抗体・抗VGKC抗体)
HIV・HBV・HCV・HTLV-1
α-ガラクトシダーゼ活性・ポルフィリン
髄液検査
遺伝子検査
神経伝導検査
大径有髄線維を調べる検査であり、純粋なSFNでは異常所見は指摘できない。
定量的感覚検査(QST:quantitative sensory testing)
定量的軸索反射性発汗検査(QSART:quantitative sudomotor axon reflex test)
別記事参照
皮膚生検
表皮内神経線維密度(IENFD:intra-epidermal nerve fiber density)を評価する。
足外踝から10cm上での直径3mmのパンチ生検が簡便かつ有用。
pan-axonal markerであるPGP9.5(protein gene product)抗体を利用した免疫染色を行う。
7.63本/mmをカットオフとすると、感度82.8%・特異度90%。
診断基準
Besta criteria
以下のうち2つ以上を満たす。
- 小径線維の障害を示唆する臨床徴候(チクチク感+温冷覚障害±アロディニア±痛覚過敏)
- QSTによる評価で足の温冷覚閾値異常
- 下肢遠位部における皮膚生検で皮内神経線維密度の減少
Neurodiab criteria
- 長さ依存性の小径線維異常を示唆する症状
- 長さ依存性の小径線維異常を示唆する徴候
- 神経伝導検査で腓腹神経の正常所見
- 下肢遠位部における皮膚生検で表皮内神経線維密度の減少
- QSTによる評価で足の温冷覚閾値異常
Possible SFN:1 and/or 2
Probable SFN:1 and 2 and 3
Definite SFN:1 and 2 and 3 and 4 and/or 5
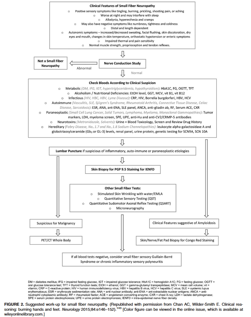
診断フローチャート

*Muscle Nerve. 2016;53(5):671-82.
引用・参考文献
Muscle Nerve. 2016;53(5):671-82.
Lancet Neurol. 2017;16(11):934-944.
